СРАВНЕНИЕ ГЕМОДИНАМИЧЕСКИХ ЭФФЕКТОВ ИНГАЛЯЦИОННОГО ИЛОПРОСТА И ОКСИДА АЗОТА ПРИ НАЗНАЧЕНИИ ПАЦИЕНТАМ С ВЫРАЖЕННОЙ СИСТОЛИЧЕСКОЙ ДИСФУНКЦИЕЙ ЛЕВОГО ЖЕЛУДОЧКА
https://doi.org/10.15829/1560-4071-2017-12-97-103
Аннотация
Цель. Сравнить воздействие оксида азота (NO) и ингаляционного илопроста (ИИ) на гемодинамику пациентов с легочной гипертензией (ЛГ), ассоциированной с выраженной систолической дисфункцией левого желудочка (ЛЖ).
Материал и методы. Проведено ретроспективное описательное исследование результатов 158 последовательно выполненных тестов на обратимость ЛГ с применением NO и ИИ у 124 кандидатов на трансплантацию сердца, имеющих легочное сосудистое сопротивление (ЛСС) более 2,5 ед. Вуда. Обследовано 32 женщины и 92 мужчины (средний возраст 48,9±11,2 года) с сердечной недостаточностью (СН) ишемического (n=59) и некоронарогенного (n=65) генеза, имеющих фракцию выброса левого желудочка (ФВ ЛЖ) 22,5±5,2%. Ингаляция NO с концентрацией 80 ppm применялась в 47 случаях (39 пациентов), ИИ в дозе 20 мкг — в 111 случаях (93 пациента). Измерение давления в легочной артерии (ЛА) и показателей гемодинамики выполняли с применением катетера Сван-Ганца. Данные представлены в виде среднее ± стандартное отклонение.
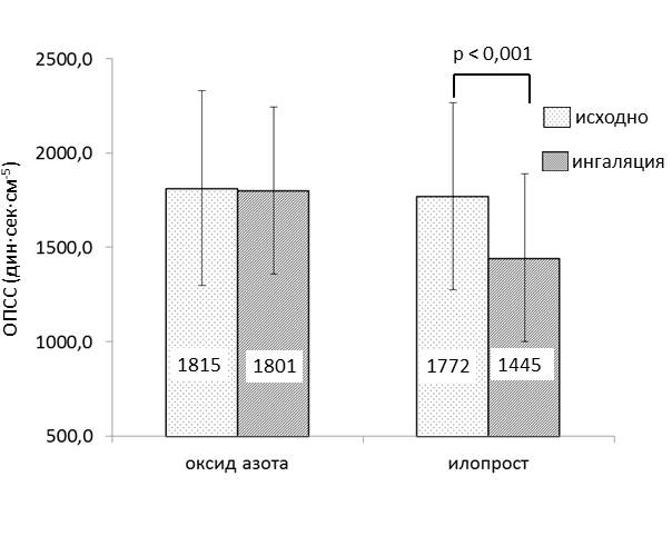
Результаты. Отмечено снижение среднего давления в легочной артерии (ДЛАср.): на фоне NO с 34,7±8,4 до 32,7±9,7 мм рт.ст. (p=0,015), ИИ с 36,7±10 до 31,1±9,2 мм рт.ст. (p<0,001). ЛСС снизилось на фоне NO с 4,8±1,7 до 3,6±1,6 ед. Вуда (p<0,001) и на фоне ИИ — с 4,9±2 до 3,1±1,4 ед. Вуда (p<0,001). На фоне NO общее периферическое сопротивление сосудов (ОПСС) и артериальное давление (АД) не изменялись, в то время как ИИ снижал ОПСС с 1772±495 до 1445±444 дин·сек·см-5 (p<0,001) и АДср. с 79,7±10 до 74,8±11,5 мм рт.ст. (p<0,001). NO вызывал объемную перегрузку ЛЖ: давление заклинивания легочной артерии (ДЗЛА) увеличилось с 19,6±6,5 до 21,2±7,9 мм рт.ст. (p=0,038), напротив, ИИ снижал ДЗЛА с 20,2±6,5 до 18,7±6,6 мм рт.ст. (p<0,001). Увеличение преди постнагрузки на фоне ингаляции NO приводило к снижению индекса ударного объема (ИУО) с 23,8±7,9 до 22,4±6,3 мл/м2 (p=0,023). В свою очередь, ИИ увеличивал ИУО с 26,2±7,2 до 30,7±8,7 мл/м2 (p<0,001).
Заключение. У пациентов с выраженной систолической дисфункцией ЛЖ ИИ, в отличие от NO, положительно влиял на поврежденный левый желудочек.Об авторах
А. Е. БаутинРоссия
Баутин Андрей Евгеньевич — доктор медицинских наук, доцент,заведующийНИЛ анестезиологии и реаниматологии.
Санкт-Петербург
SCOPUS ID: 6601992723
ResearcherID: A-4795-2017
А. С. Яковлев
Россия
Яковлев Андрей Сергеевич — заведующий отделением анестезиологии-реанимации с ПРИТ № 1 ЛРК.
Санкт-Петербург
С. В. Заяшников
Россия
Заяшников Станислав Владимирович — кандидат медицинских наук, старший научный сотрудник НИЛ анестезиологии и реаниматологии, врач-анестезиолог-реаниматолог отделения анестезиологии-реанимации с ПРИТ № 1 ЛРК.
Санкт-Петербург
Д. М. Ташханов
Россия
Ташханов Дмитрий Маратович — врач-анестезиолог-реаниматолог отделения анестезиологии-реанимации с ПРИТ № 2 ГКК.
Санкт-ПетербургА. О. Маричев
Россия
Маричев Александр Олегович — заведующий отделением анестезиологии-реанимации с ПРИТ № 7 ГКК, ассистент кафедры анестезиологии и реаниматологии.
Санкт-Петербург
П. А. Федотов
Россия
Федотов Петр Алексеевич — кандидат медицинских наук, заведующий НИЛ высокотехнологичных методов лечения сердечной недостаточности.
Санкт-Петербург
М. А. Борцова
Россия
Борцова Мария Александровна — заведующий кардиологическим отделением № 8.
Санкт-Петербург
Ю. В. Сазонова
Россия
Сазонова Юлия Вячеславовна — младший научный сотрудник НИЛ торакальной хирургии, врач-кардиолог кардиологического отделения № 8.
Санкт-ПетербургИ. В. Сухова
Россия
Сухова Ирина Валентиновна — кандидат медицинских наук, старший научный сотрудник НИЛ клинической ангиологии.
Санкт-Петербург
И. Э. Титова
Россия
Титова Инга Эдуардовна — заведующий кардиологическим отделением № 3 ЛРК.
Санкт-Петербург
М. А. Симоненко
Россия
Симоненко Мария Андреевна — младший научный сотрудник НИЛ кардиопульмонального тестирования.
Санкт-Петербург
Ма. Ю. Ситникова
Россия
Ситникова Мария Юрьевна — доктор медицинских наук, профессор, заведующий НИЛ хронической сердечной недостаточности.
Санкт-Петербург
В. К. Новиков
Россия
Новиков В. К. — доктор медицинских наук, профессор, профессор кафедры хирургических болезней.
Санкт-Петербург
О. М. Моисеева
Россия
Моисеева Ольга Михайловна — доктор медицинских наук, заместитель директора института сердца и сосудов, заведующий НИО некоронарогенных заболеваний сердца.
Санкт-ПетербургСписок литературы
1. Galiè N, Humbert M, Vachiery J, et al. 2015 ESC/ERS Guidelines for the diagnosis and treatment of pulmonary hypertension. Eur Heart J 2016; 37: 67-119.
2. Guazzi M, Galie N. Pulmonary hypertension in left heart disease. Eur Respir Rev 2012; 21: 338–46.
3. Yakovlev AS, Bautin AE, Tashhanov DM, et al. About mechanisms of the hemodynamic effects of pulmonary vasodilators in patients with left ventricular systolic dysfunction. In: Translational Medicine. Ed. E. V. Shlyakhto. 2nd Ed. St. Petersburg; 2015: 618-35. (In Russ.) Яковлев А. С., Баутин А. Е., Ташханов Д. М. и др. О механизмах гемодинамических эффектов вазодилататоров малого круга у пациентов с систолической дисфункцией левого желудочка. В кн: Трансляционная медицина. Под ред. Е. В. Шляхто. Изд. 2-е. СПб; 2015. с. 618-35.
4. Bocchi EA, Bacal F, Auler JO, et al. Inhaled nitric oxide leading to pulmonary edema in stable severe heart failure. Am J Cardiol. 1994; 74: 70-2.
5. Loh E, Stamler J, Hare J, et al. Cardiovascular effects of inhaled nitric oxide in patients with left ventricular dysfunction. Circulation 1994; 90: 2780-85.
6. Packer M. Multicentre, double-blind, placebo-controlled study of long-term endothelin blockade with bosentan in chronic heart failure — results of the REACH-1 trial. Circulation 1998; 98: 1-3.
7. Kalra PR, Moon JC, Coats AJ. Do results of the ENABLE (Endothelin Antagonist Bosentan for Lowering Cardiac Events in Heart Failure) study spell the end for non-selective endothelin antagonism in heart failure? Int J Cardiol 2002; 85: 195-97.
8. Redfield MM, Chen HH, Borlaug BA, et al. Effect of phosphodiesterase-5 inhibition on exercise capacity and clinical status in heart failure with preserved ejection fraction: a randomized clinical trial. JAMA 2013; 309: 1268-77.
9. Mehra M, Kobashigawa J, Starling R, et al. Listing criteria for heart transplantation: International society for heart and lung transplantation guidelines for the care of cardiac transplant candidates — 2006. J Heart Lung Transplant 2006; 25: 1024-42.
10. Sablotzki A, Hentschel T, Gruenig E, et al. Hemodynamic effects of inhaled aerosolized iloprost and inhaled nitric oxide in heart transplant candidates with elevated pulmonary vascular resistance. Eur J Cardiothorac Surg 2002; 22: 746-52.
11. Sablotzki A, Hentschel T, Hofmann S, et al. Inhaled aerosolized iloprost in the evaluation of heart transplant candidates-experiences with 45 cases. J Clin Anesth 2006; 18: 108-13.
12. Gomberg-Maitland M, Olschewski H. Prostacyclin therapies for the treatment of pulmonary arterial hypertension. European respiratory journal. 2008; 31: 881-901.
13. Rebsamen MC, Church DJ, Morabito D, et al. Role of cAMP and calcium influx in endothelin-1-induced ANP release in rat cardiomyocytes. Am J Physiol 1997; 273: E92231.
14. Church DJ, Van der Bent V, Vallotton MB, et al. Role of prostaglandin-mediated cyclic AMP formation in protein kinase C-dependent secretion of atrial natriuretic peptide in rat cardiomyocytes. Biochem J 1994; 303: 217-25.
15. Kemming G, Kisch-Wedel H, Flondor M, et al. Improved ventricular function during inhalation of PGI(2) aerosol partly relies on enhanced myocardial contractility. Eur Surg Res 2005; 37: 9-17.
16. De Santo LS, Romano G, Maiello C, et al. Pulmonary artery hypertension in heart transplant recipients: how much is too much? Eur J Cardiothorac Surg 2012; 42: 864-9.
17. Pons J, Leblanc M, Bernier M, et al. Effects of chronic sildenafil use on pulmonary hemodynamics and clinical outcomes in heart transplantation. JHLT 2012; 31: 1281-87.
Дополнительные файлы
|
|
1. Неозаглавлен | |
| Тема | ||
| Тип | Исследовательские инструменты | |
Посмотреть
(35KB)
|
Метаданные ▾ | |
|
|
2. Неозаглавлен | |
| Тема | ||
| Тип | Исследовательские инструменты | |
Посмотреть
(34KB)
|
Метаданные ▾ | |
|
|
3. Неозаглавлен | |
| Тема | ||
| Тип | Исследовательские инструменты | |
Посмотреть
(34KB)
|
Метаданные ▾ | |
|
|
4. Неозаглавлен | |
| Тема | ||
| Тип | Исследовательские инструменты | |
Посмотреть
(36KB)
|
Метаданные ▾ | |
|
|
5. Неозаглавлен | |
| Тема | ||
| Тип | Исследовательские инструменты | |
Посмотреть
(44KB)
|
Метаданные ▾ | |
|
6. Неозаглавлен | |
| Тема | ||
| Тип | Исследовательские инструменты | |
Скачать
(193KB)
|
Метаданные ▾ | |
Рецензия
Для цитирования:
Баутин А.Е., Яковлев А.С., Заяшников С.В., Ташханов Д.М., Маричев А.О., Федотов П.А., Борцова М.А., Сазонова Ю.В., Сухова И.В., Титова И.Э., Симоненко М.А., Ситникова М.Ю., Новиков В.К., Моисеева О.М. СРАВНЕНИЕ ГЕМОДИНАМИЧЕСКИХ ЭФФЕКТОВ ИНГАЛЯЦИОННОГО ИЛОПРОСТА И ОКСИДА АЗОТА ПРИ НАЗНАЧЕНИИ ПАЦИЕНТАМ С ВЫРАЖЕННОЙ СИСТОЛИЧЕСКОЙ ДИСФУНКЦИЕЙ ЛЕВОГО ЖЕЛУДОЧКА. Российский кардиологический журнал. 2017;(12):97-103. https://doi.org/10.15829/1560-4071-2017-12-97-103
For citation:
Bautin A.E., Yakovlev A.S., Zayashnikov S.V., Tashkhanov D.M., Marichev A.O., Fedotov P.A., Bortsova M.А., Sazonova Yu.V., Sukhova I.V., Titova I.E., Simonenko M.A., Sitnikova M.Yu., Novikov V.K., Moiseeva O.M. COMPARISON OF HEMODYNAMIC EFFECTS OF INHALATORY ILOPROST AND NITRIC OXIDE IN PATIENTS WITH SEVERE LEFT VENTRICLE DYSFUNCTION. Russian Journal of Cardiology. 2017;(12):97-103. (In Russ.) https://doi.org/10.15829/1560-4071-2017-12-97-103
JATS XML







































